About
Saved
search
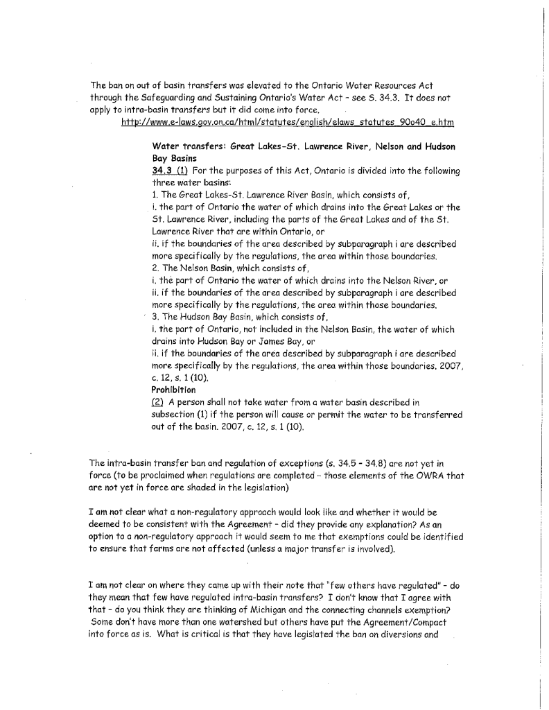
2012 Charter annex
Item year:
2012
Date posted to archive:
January 12, 2016 at 5:00 am
Fonds:
Fonds 1.0 - Canadian Environmental Law Association
Sous-fonds:
Sous-fonds 1.4 - Water
Series:
Series 2.0 - Water Law Reforms
Sub-series:
Sub-series 2.2 - Great Lakes LR
File:
File 1.0 - Great Lakes charter annex
Collection:
Great Lakes charter annex
Subjects:
Water
Water management
add
Document(s):